Stansbury Service Agency
435.882.6188
1 Country Club Dr. Ste 1
Stansbury Park, UT 84074
Mon-Tues, Thursday-Friday
8 am – 4 pm
Wednesday – Closed
Stansbury Service Agency
435.882.6188
1 Country Club Dr. Ste 1
Stansbury Park, UT 84074
Mon-Tues, Thursday-Friday
8 am – 4 pm
Wednesday – Closed
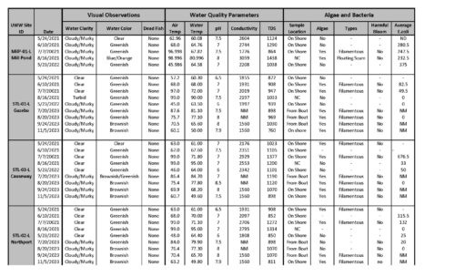
Stansbury Service Agency is currently monitoring the lake water quality under the Utah Water Watch Tier 1 Lake Monitoring Program. Four locations on Stansbury Lake are monitored, including the clubhouse gazebo (STL-01-L), Northport Park (STL-02-L), the Causeway (STL-03-L), and Mill Pond (MILP-01-L). Historical data is maintained in the CitSci database.
| September 2024 | ![]() |
| August 2024 | ![]() |
| May 2024 | ![]() |
| October 2023 | ![]() |
| August 2023 | ![]() |